
Ironman Austria 2013: Full Results and Analysis
It was a mixed day for CoachCox athletes racing Ironman Austria on Sunday with a couple of DNFs among otherwise great results. Not what was planned, but each performance will be examined and lessons will be learnt. Overall though – as I sat hitting refresh on the athlete tracker – my impression was of a return to form for Austria, back to fast racing after a slow 2012. Times felt more inline with the speedy end of performances we’ve seen there, a touch above the average.
Comparing the 2013 distribution of splits (top) with the aggregate from previous years of racing (bottom) certainly agrees with this notion. In each discipline the distribution fits the pattern of past races, but shifted towards the faster end on the range. It is most obvious in the swim where times are quite evenly spread around a 1:05 peak. For the most part the differences are small, but the cumulative effect is a marginally faster spread of finishing times.
The pattern is quite consistently repeated when we compare median splits by division again between this year’s race (top) and previous races (bottom). Swim is typically faster, bike not that dissimilar and again run is generally faster in 2013. Bearing in mind that we are dealing with averages from a number of years while 2013 appears to be a faster year, that’s not to say it was the fastest. Performances were strong, but as the top age group comparison will show in a moment, there has been faster.
Before that though I’ll discuss course length again as there is a question over whether the bike is still short or had been corrected. In 2010 I had 3 athletes race in Klagenfurt and all reported the bike at around 4K under distance. In 2011 I had a couple of athletes race, but only one good GPS file, again 3-4K short; others have reported similar results to me. So far this year I have seen one file which comes in 3.5K short of the full 180km. The course has been altered since 2010, but oddly the evidence I have seen suggests it’s still short. Assuming this file is accurate then a part of Austria’s speed comes from the course length. You race what you’re given on the day and judge your performance against the athletes present.
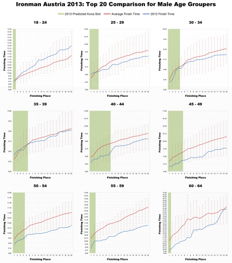
The front-of-pack performances can give a different impression of race day. Regardless of course length Austria has some stunning age group times. With only 50 Kona slots available this year that also made qualification a challenging game. The charts below show how 2013 compares and the likely allocation of slots to the age groups.
Generally, with one or two exceptions, finishing times are slightly faster than average, but a way from the fastest Austria has seen. The exception is men above the age of 45 who seem to have taken a leap forward this year. My sub 9:15 criteria for most male qualifiers was, in this case, too lenient, 9:10 or even 9:05 being more realistic cutoffs based on these results. In the women’s field again the averages would generally have been a poor guide, this year saw the majority of places finishing ahead.
I’ll have some athlete data available to examine in the next few days and can look at this race from an individual level as well. The more interesting analysis is in the details of my own athlete’s performances. In the meantime I’ve uploaded the full Ironman Austria results and splits to Google Drive. Next up is Ironman Germany – analysis of past results will be up midweek.













