
Ironman Frankfurt 2013: Full Results and Analysis
Finally summer has arrived. Athletes at the European Ironman Championship faced warm conditions, something of a contrast to the weather they’ve typically trained in this year. Fortunately, temperatures never hit the extremes and finishing splits are largely on par with previous races in Frankfurt. So times were generally fast and the competition for Kona slots as steep as usual.
I’ll start with finisher distributions, but using a new version of the chart (below). The new version displays both this year’s results (light bars) and the average from previous years (dark bars) as percentages of total finishers to allow for easier comparison.
This year’s results appear to distribute very closely to previous years – differences are subtle. While the peak swim split is slightly slower there is more weight towards faster times and less at the tail. The bike is very close to the historical trends, but the run is weighted a little more at the slow end of the scale. Slower run times likely reflect the heat. Overall the differences balance out; although we might note that the proportion of finishers under 9:30 appears low. Relatively few finishers under 9:30 possibly reflects the field – perhaps pros and fast age groupers were spread out over other races.
Sticking with the standard charts for median splits, times are not hugely different. It’s interesting to note that generally averages are a little faster this year, although not by huge margins. Both medians and distributions are too close to note differences of real significance. From my perspective this race was typical of Ironman Frankfurt.
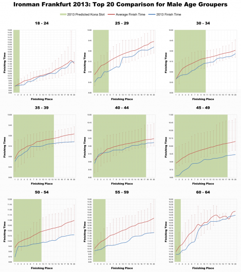
Finally front of pack statistics. Kona slot allocations are my estimates based on the participant list, actual numbers may have varied slightly.
The picture at the front of the pack is, by-and-large, of a faster race. Times are generally ahead of the averages and in some cases – both the male and female 45-49 divisions – faster than previous bests. For the most part, in qualification terms, you needed to finish slightly faster than the cumulative average. For the women 10:15 is roughly the cut off time in most age groups, for the men it’s 9:15 under 35 and 9:30 over. Fast times when you consider the number of slots on offer – competition is tough in Germany. The European Ironman Championship delivered on expectations.
As usual I’ve uploaded the full results and splits from Ironman Frankfurt to Google Drive. There’ll be a break from Ironman results until Lake Placid and Switzerland at the end of this month, but with Roth only a week away I may look at what I can do with Challenge results.












