
Ironman Switzerland 2013: Full Results and Analysis
It was hot in Zurich at the weekend. Hot enough for Ironman Switzerland to ban wetsuits. If my athlete’s race reports are anything to go by it was a tough day and a particularly challenging edition of the event. The race statistics appear to support this with a higher DNF rate than usual and average splits on the slower side too.
Naturally we expect a non-wetsuit swim to be slower than usual, however the degree to which swim times were slowed this year suggests to me there was more at play – a longer than usual course or currents perhaps? Bike and run also skew slightly slower, but the overall time appears to be skewed faster. Given every stage appears to be slower, it’s surprising that the overall pattern doesn’t follow. The cause may relate to the absence of DNF data in the charts above, only those who finish are incorporated in these splits so we see fewer slow Ironman finishers because more had DNFed than in previous events.
[Edit: always triple check your numbers! I inverted the data for the overall splits so in fact, as expected, Ironman Switzerland has a distinctly slower overall distribution than in previous years.]
| Number of Entrants | Percentage DNS and Swim DNF | Percentage Bike DNF | Percentage Run DNF | Combined DNS and DNF Percentage | |
|---|---|---|---|---|---|
| Ironman Switzerland Average | 2078 | 11 | 2 | 5 | 18 |
| Ironman Switzerland 2013 | 2493 | 13 | 4 | 7 | 25 |
I checked the statistics. We can see that the DNF rate is up quite a lot on previous averages (which includes the very wet 2008, a year in which the DNF rate was again high). It should be noted that as a result of the information available in Athlete Tracker I cannot distinguish DNS from DNF in the swim. Both the 11% average and the 13% this year will mainly consist of DNSes, although I would still expect there to have been more swim DNFs this year. This will also effect the overall DNF rate, but based on bike and run figures we can still reasonably conclude that this year there were a lot more DNFs.
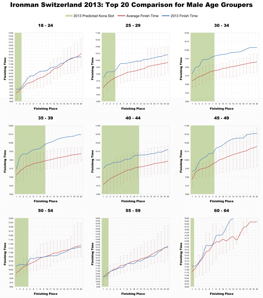
Again the medians (which also exclude DNFs) point towards slower times across the board. The impact is smallest among the pros, but for most age groups the overall result are cumulative times almost an hour slower than in previous events. A higher than usual DNF rate and slower averages clearly show the impact of hot conditions on the race.
The front of the field was equally affected by the heat with finishing times in general being slower than the previous averages. In the case of 30-something men this year’s race was the slowest I’ve analysed. It should be noted that older men, and women, were much closer to the average than their younger counterparts. This is why these times only offer a rough guide – in tough conditions few will actually come close to those averages and the times required to qualify will be much slower. It is always possible for a race to fall outside the scope of previous events.
Where my race in 2008 was tough because of the wet and cold, this year matched it with heat. Athletes should not be surprised if their times are a little slower than expected, position offers a better guide to performance.
I’ve uploaded a spreadsheet of the full results and splits from Ironman Switzerland 2013 to Google Drive.












