
Ironman Arizona 2013: Full Results and Analysis
It’s been a month since Ironman Arizona. Those who raced are likely recovered, probably taking some downtime or perhaps already making preparations for the next season. Chances are they’re no longer interested in how their times compare or this year’s Kona qualifying times, but I’m a completist, I don’t want a gap in my 2013 race analyses. So a month late here’s a quick look over the results from Ironman Arizona 2013.
Comparing the split distributions from this year with past races (above) we can see that 2013 falls at the faster end of the spectrum. Overall finish times are slightly quicker than the previous 8 years largely a result of a much faster bike leg than usual. In fact swim and run are both slower than the historical results and blunt the impact of the faster bike splits on the overall results.
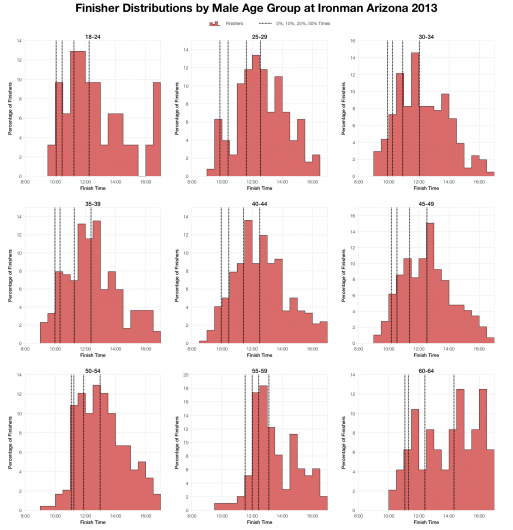
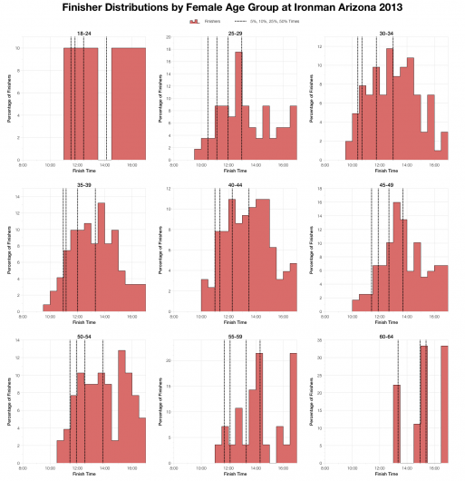
For those who raced the age group finisher distributions give some indication of standing in the field. The broader pattern they show is a familiar peaking of performance in the thirties followed by gradual decline with age. Although it should be noted that his decline is less pronounced among the very front 5% of each category. It’s the overall field that gradually slows, there are strong front runners into their fifties.
The medians broadly reflect the distributions. Comparing this year with the past it’s the bike where we see major differences in performance; this is true in both the pro and age group field. The swim is slower and the run shows a mixed pattern – some age groups slower, some faster. A less consistent message from the age group breakdown, but still one pointing to a marginally faster year driven by a quick bike.
At the front of the age groups there was a stronger trend towards faster times, particularly in the women’s field where most age groups were faster than average. For the men it’s over forty when that pick up in performance happens and we see times well ahead of the average. Taken as a whole the front of pack athletes appear to have delivered some of the fastest performances seen and Kona qualification times this year would have often been considerably ahead of the average.
For those who want the full results and splits from Ironman Arizona 2013 I’ve uploaded them to my Google Drive.
This analysis is late and a little rushed for it, but it brings closure to the 2013 race season. That’s it till March 1st 2014 when the calendar kicks off with Ironman New Zealand. I’ve got a 3 month break form the race analysis and some time to work on new ideas for next year’s results.














