
Ironman Cozumel 2012: Detailed Race Results and Analysis
As fast as I streamlining the process of Ironman results retrieval and analysis I add new graphs to the mix. Ironman Cozumel was raced yesterday and as usual, for those looking for a more useful format than the athlete tracker provides, I’ve extracted the full results, tabulated them and uploaded them to my Google Drive. That was the easy part. Then I worked through my growing series of charts to compare this year’s Cozumel event with previous races.
The fourth running of Ironman Cozumel appears to be typical of the course. In fact the only difference that really stands out is the slower swim distribution when compared with the previous three years in the charts below. Outside of that the shapes of the varying finisher distributions vary subtly and less significantly. Perhaps 2012 was slightly slower, but I’d not be willing to commit myself to this.
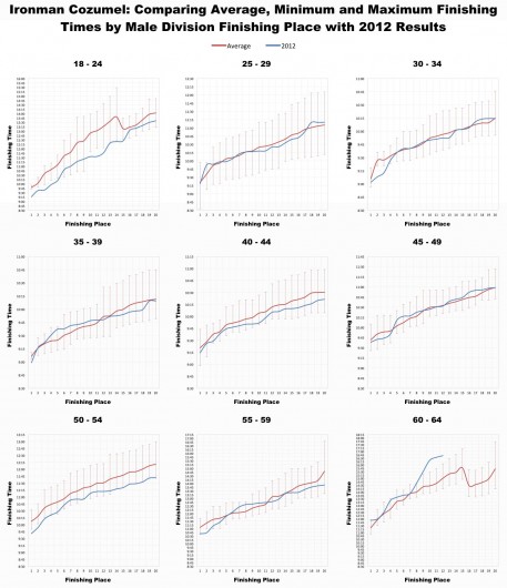
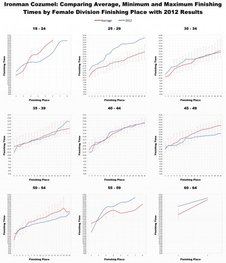
Ahead of the race I briefly looked at the average finishing times for the top 20 athletes in each age group as a means to estimate the kind of performance required to place or to qualify. Having such a short race history I was wary of putting to much faith in the predictive power of the Cozumel results so far, but updating the graphs from last week by overlaying the finishing times from the weekend suggests that the averages might not have done such a bad job. There are exceptions – if you were hoping to podium in the men’s 18-24 division you would have needed a significant step up in performance over previous years and this year’s female 25-29 division completely failed to meet past standards. There are no safe bets, particularly at the very front-of-pack or in older or younger age groups, but the minimums as goals would tend to ensure a placing within the top 20.
Not perfect, but then you never know who will turn up in a given year. It suggests that at the very least these charts are useful as a more calculated estimate of the times needed to qualify or place on the podium. Minimums are the safer bet, but even then, on the right day they might also be significantly beaten.
Finally the look at the pro race and how that unfolded over the course of the day. The usual mess of spaghetti for both mean and women although it has to be said those who finished in the top 5 all raced consistently. Among the men we see the 13 mile wall which strips the field down as many fall significantly off the pace for the remainder of the race.
More pictures, fewer words today. I’ll confess with no athletes racing there this year Cozumel didn’t rank high on my priorities. Interesting to see the application of the average place times charts and pleasing to find that at least in some instances they weren’t far out. The next event, bringing a close to the year’s races, will be my favourite: Ironman Western Australia. Having raced there myself I’m looking forward to examining historical performances at that event and seeing how 2012 compares.















