
Ironman Lanzarote 2013: Full Results and Analysis
I spent Saturday glued to the athlete tracker nervously following three of my athletes racing at Ironman Lanzarote. Not that I doubted their training – all three had worked hard over the last 6 months – but Lanzarote is a punishing race that offers little room for error. I found myself frequently refreshing the page in the hope of further progress; each small update offering me a limited insight into their days. It looked tough, but now the race is over I can use the results to examine how tough.
This year’s distribution of split times (above) appear to fall safely within Lanzarote parameters. The swim appears fractionally slower than the norm, but the bike has a more noticeable shift, the consequence of winds forecast at 20mph. So we see a rightward trend to the distribution as generally athletes were out on the bike course for longer. Despite an apparently tougher bike the run is remarkably unaffected showing little movement from its usual pattern. It seems 2013 was a marginally slower race than usual, but less significantly than I’d imagined.
As ever looking at the divisions gives us a different viewpoint on the race. Comparing this year’s median splits with those of previous years tells a mixed story reflecting annual fluctuations in the athletic make up of each division. There is further support here for a slower swim as most age groups recorded a higher average time. On the bike though there is a division – men showing a pattern of slower bike averages, while among the women the younger age groups were often faster. The run however is almost universally faster in 2013 which largely balances out the overall times. It’s interesting that a slower – perhaps tougher – bike doesn’t appear to result in a slower run.
My prediction of Kona slots, made on the basis of the bib number list proved slightly inaccurate once the provisional allocation was uploaded – there is still work to be done refining the algorithm.
| Predicted Allocation | Provisional Allocation | |
|---|---|---|
| F18-24 | 1 | 1 |
| F25-29 | 1 | 1 |
| F30-34 | 1 | 1 |
| F35-39 | 1 | 1 |
| F40-44 | 1 | 1 |
| F45-49 | 1 | 1 |
| F50-54 | 1 | 1 |
| F55-59 | 1 | 1 |
| F60-64 | 1 | 1 |
| F70-74 | 1 | 1 |
| M18-24 | 1 | 1 |
| M25-29 | 2 | 1 |
| M30-34 | 4 | 4 |
| M35-39 | 5 | 6 |
| M40-44 | 5 | 6 |
| M45-49 | 4 | 4 |
| M50-54 | 3 | 3 |
| M55-59 | 2 | 1 |
| M60-64 | 1 | 1 |
| M65-69 | 1 | 1 |
| M70-74 | 1 | 1 |
| M75-79 | 1 | 1 |
| Total | 40 | 40 |
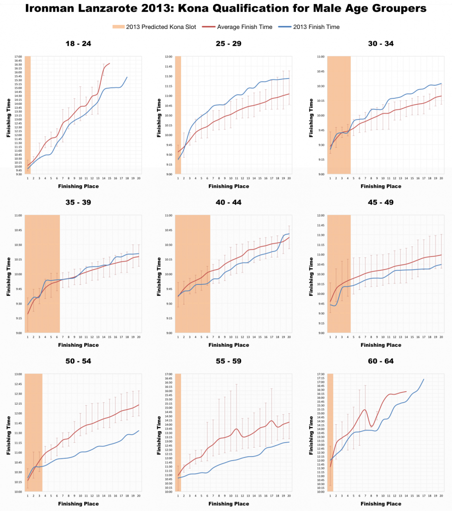
Neither distribution offers many slots and competition in Lanzarote is remarkably steep with a large gap between first and twentieth in most age groups.
Again these charts present a mixed picture of the race – the women’s times imply that this year was potentially faster than usual as do the older men. It’s almost as if the younger age groups suffer more in tough conditions. The fastest age groupers, the Kona qualifiers, rarely diverge from the average qualifying times; conditions appear less important in how races play out at the front. I am tempted to delve further and examine the relationship of swim, bike and run that make up the fastest performances.
So maybe Ironman Lanzarote was a little tougher than usual, at least on the swim and bike. Yet, as often seems to be the case, the impact was felt less at the front of the field – it’s the middle of the pack athletes that appear most affected.
My athletes worked hard. By the time I headed out for the evening they were done. Two delivered solid sub-11 hour performances while the third managed to set a new course PB despite having a much tougher time. All three should be pleased with what they achieved – they stack up well against their division averages. As usual I’ve put a spreadsheet version of results and splits for the 2013 Ironman Lanzarote on Google Drive. Tomorrow it will be the turn of Ironman Texas.













