
Ironman Mont-Tremblant 2019: Age Group Results and Kona Qualification
Race two from the weekend: Ironman Mont-Tremblant. Another well established part of the Ironman calendar, Mont-Tremblant draws a large field with the standard 40 Kona slot allocation. This year’s race looks to have trended slightly slower than usual.
This year’s overall distribution has a much broader, flatter peak than the historical data with a lot more athletes finishing in the 14-15 hour region. This appears to be the result of slower bike and run distributions, individually they aren’t that much slower, but they combine to a bigger change to overall results. At the median this year’s race was roughly 10-15 minutes slower than the course norms.
The DNF rates this year are unexceptional. They are typical for Mont-Tremblant and fall comfortably in what could be considered the normal range for Ironman races.
Medians trend similarly to distributions – slightly slower in both bike and run. This looks to hold quite consistently in the male age groups, but does vary slightly for the women.
Ironman Mont-Tremblant predominantly draws North American athletes and it keeps the majority of Kona slots there too.
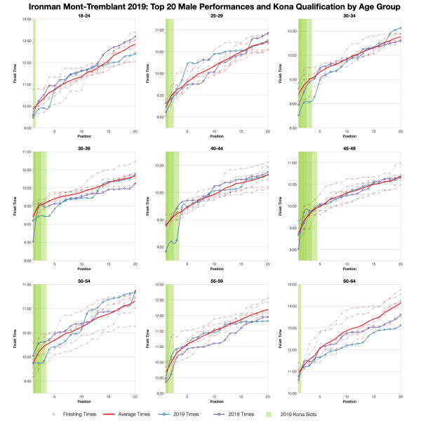
Tracking changes in age group times for specific positions show a bit of a split depending on where you come in the field. At the front of the age group pack times are more consistent with past races, but further back we see more evidence of a slower year.
Based on the start list I’ve calculated the Kona slot allocation and from that automatic qualification times. Roll down is not accounted for in these times. You can compare this with other races on my Kona qualification page.
For the most part the age group top twenty times are average. There are a few exceptions though, age groups like F25-29 which was well in advance of the course average, or M40-44 which saw a big jump in times for the Kona qualifiers. While the race appeared slightly slower, the competition for Kona was average or faster.
You can access a spreadsheet of the full results from Ironman Mont-Tremblant 2019 on my Google Drive.














