Ironman Barcelona 2019: Age Group Results and Kona Qualification
Today’s analysis is for Ironman Barcelona a big event with almost 3,000 athletes making the start line. While it’s a large race Barcelona has the standard Kona slot allocation of 40 slots for the Ironman World Championship. The course is fast, a good choice for PBs, but probably a poorer choice for qualification as times are competitive. The 2019 race is consistent with previous years of racing in Barcelona.
Comparing the charts for 2019 with the amalgamated results from 2014-2018 shows incredibly similar distributions. The swim data matches closely to previous editions. Bike and run trend subtly faster, but the shift in each is very small. When we come to the overall distributions this means 2019 is perhaps a fraction faster. The difference is a matter of a minutes and hardly significant – it would be fair to describe 2019 as a typical year of racing in Barcelona.
DNF rates for this year’s race remain inline with past years. At 6.2% rates are normal for an Ironman, suggesting conditions were fine for racing.
As with the distributions the differences in age group medians are small when comparing this year with the past. When times are so close we see small variations across age groups with some faster than the amalgamated results and some slower. Changes are not significant though.
Barcelona draws a wide field, with UK athletes making up the largest single nationality. Kona slots are spread equally widely across the field.
Comparing the changes in times for specific age group positions shows the consistency of this race over the years. In the smaller divisions, such as the under 25s, there is more variability towards the back of the age group. In the large age groups, between 30 and 50, times are very consistent over the 6 years of results.
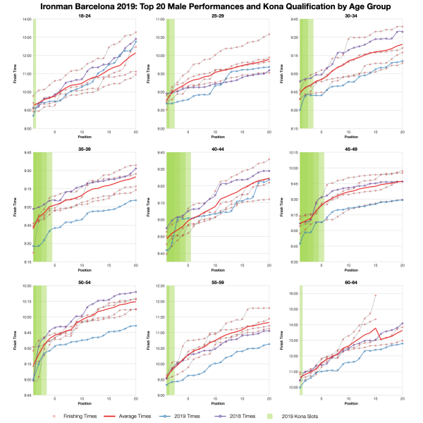
Based on the start list I’ve calculated the Kona slot allocation for this race and from that the automatic qualifying times in each age group. As always I do not factor roll down into these calculations, this means the M75-79 and F70-74 slots will have been added into other age groups. You can compare this with other races on my Kona qualification page.
Finishing up with the top twenty in each age group, this year’s race was generally faster than average. The majority of male age groups see a faster top twenty, in some instances the fastest top twenty for the course. This is less pronounced, but still present for most of the women’s age groups too. So while the change in the distributions and medians is small, it is noticeable at the front of pack.
You can access a spreadsheet of the full results from Ironman Barcelona 2019 on my Google Drive.











