
Ironman Lanzarote 2025: Age Group Stats and Qualification Times
There’s a long history to Ironman Lanzarote and a lot of data to tell us it’s one of the slower races on the Ironman Calendar. A challenging bike course with climbs and strong winds and a hot run to follow. This is not a course for a PB time but it remains a favourite race of mine despite some very tough days racing there.
Result Distributions
Comparing the distribution of times at this year’s race with the last 5 years shows minimal differences at key stages in the race. The average overall times is very slightly faster as is the top 5% of the race. These differences aren’t significant though and appear to come over both bike and run. The trends in individual split times are also similar to the past. While Lanza’s conditions do vary it’s quite a consistent race. There have been some course changes over the 5 year period, but these haven’t hugely impacted times on the bike.
DNF Rates
DNF rates on the island tend towards the higher end for Ironman. This is a challenging race. This year is a good year though with one of the lowest DNF rates for the event. This appears to be evenly spread between bike and run.
Median Splits


As normal, medians splits reflect the trend shown in the distribution. We’re effectively looking at the details of that median, 50th percentile point on the distributions chart. There is naturally variance, but we can see patterns like the faster run splits for this year compared to the aggregated 5 year data.
Competitor Origins
Lanzarote draws a broad group of athletes. The UK remains at the top of the table and holds onto the most qualification spots based on finishing times.
Performance Changes
Lanzarote is a surprisingly consistent race really given it’s known for tough and changeable conditions. In the larger age groups the change in times for most positions sits in narrow bands. The last few years have been a bit more volatile which may reflect changes made to the course as well.
Qualification
Slot allocation numbers have been calculated based on the number of athletes recorded as starting on race morning. I’ve used the algorithm Ironman uses to allocate slots and from that determined the automatic qualification times for the race. These are the times that would qualify you without any roll down. Information on roll down is not available.
You can examine qualification and adjust slot numbers on the Lanzarote 2025 qualification page.
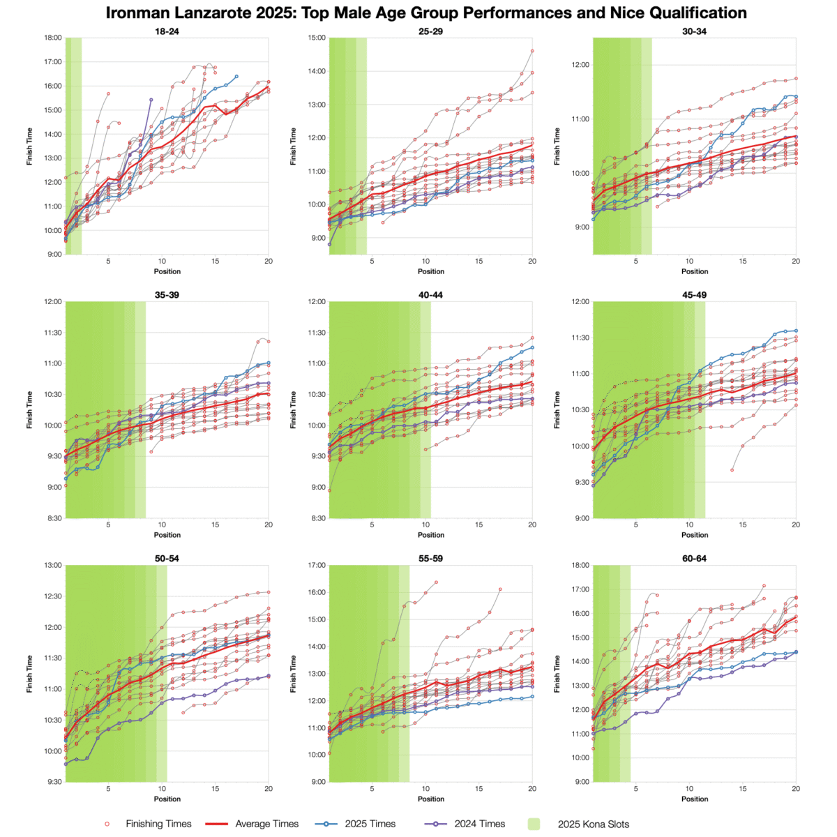
Age Group Top 20
While a few age groups are outliers the majority show a race that trends very close to the averages for the top 20 places in each age group. If it leans in one direction it’s towards a slightly faster race than average. But we don’t really see times that push the pace for this event.
Conclusion
It’s so much easier to write a report when a race does something unusual and diverges from expectations. On the other hand for those looking to assess a race and its potential for a specific time or result, being average is good. Ironman Lanzarote 2025 was definitely an average day: a slow Ironman course being as slow as we should expect.










