Ironman Copenhagen: Full Results and Analysis
Seven hours after the first of the weekend’s Ironman races finished in Sweden the second began over the border in Denmark. Ironman Copenhagen made it’s debut, replacing the Challenge brand and adding Kona slots to the mix. Like it’s Swedish counterpart Copenhagen comes with the potential for a fast race and this year didn’t disappoint on that front.
The distribution of finisher splits for this year’s race (top) show that overall it appears to be a little faster than previous events with a higher proportion of finishers in the 9 to 10 hour region than before. The major contributor to this shift is the bike which shows clearly faster splits. The swim on the other hand appears to have been slower while the run was marginally faster. For comparison I’ve again included the Ironman Frankfurt chart. We know Frankfurt is a fast race and can see that this year Copenhagen has a slight edge on bike and run times.
The trends are largely the same when we compare the median splits from Ironman Copenhagen with its past results as a Challenge event. Swim is slightly slower and bike and run faster; the overall effect is a faster race. Repeating the comparison with Frankfurt also repeats the observations from the split distributions – this year Copenhagen was faster on bike and run. Times from previous events fall more closely inline with the results from Frankfurt.
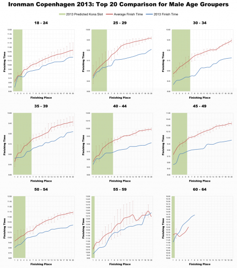
The performances of the top 20 in each age group simply reinforce the message that Ironman Copenhagen was a fast race. For the vast majority of divisions times were fast, often faster than we’ve previously seen on that course. The results from the Challenge years were a poor guide for qualification on Sunday. Twenty age groupers broke the 9 hour mark in Copenhagen well above the Frankfurt average of eight (but not quite managing the 26 of Sweden the year before).
Competition was high at the front of the race and fast times were required from those chasing the slots, but many of those racing would have entered before Kona was on the table. It sounds like roll downs were higher than usual, but with the difficulty of sourcing accurate figures it’s hard to translate anecdote to data. Not that roll downs significantly change the qualifying criteria as the drop off in times in the major age groups are relatively small.
While Ironman Sweden was slower this year, Copenhagen was clearly a faster than average race. Good conditions, but also a field that mixed Challenge athletes with those hunting for the remaining Kona slots on offer probably helped push the pace. The results show Copenhagen has potential as a PB course, qualification though will only get harder with time.
I’ve uploaded the full results and splits (excluding relays) from Ironman Copenhagen 2013 to my Google Drive.











