
Ironman Copenhagen 2025: Age Group Stats and Qualification Times
Our second Ironman last weekend was another early qualifier for Kona 2026. Ironman Copenhagen is a fast and consistent course. A good place to go to set a personal best. Qualification can be more challenging though. This year’s race had 40 slots for Kona 2026 and also a mix of 65 male and 20 female slots for the 2025 World Champs.
Result Distributions
Copenhagen is a consistently fast course. This year’s race might be a touch faster on bike and run, but the margins are small and unlikely to be significant. This carries into the overall distribution, again a small shift to faster times, but not one indicative of real change.
DNF Rates
DNF rates are low. Comparable with 2024 and better than any year prior to that. The course is as straight-forward as Ironman can be and DNF rates reflect that.
Median Splits
Median splits mirror patterns in the distributions. Meaning slightly faster bike and run time as a broad rule. No significant patterns of note, just a year that trended towards the fastest for the course.
Competitor Origins
Copenhagen draws a wide field of athletes from around the world. Locals take half the slots, with the remainder spread among the nations present.
Performance Changes
The tracking of historic times demonstrates the consistency of this race. Variation is about as low as you get for an Ironman particularly for the largest age groups.
Qualification
I’ve applied the new qualifying adjustments to results for Copenhagen to determine how many would qualify in each age group for 2026. You can find stats for the 2025 qualification slots on the Ironman Copenhagen qualification page. Numbers assume no roll down takes place during the allocation process.
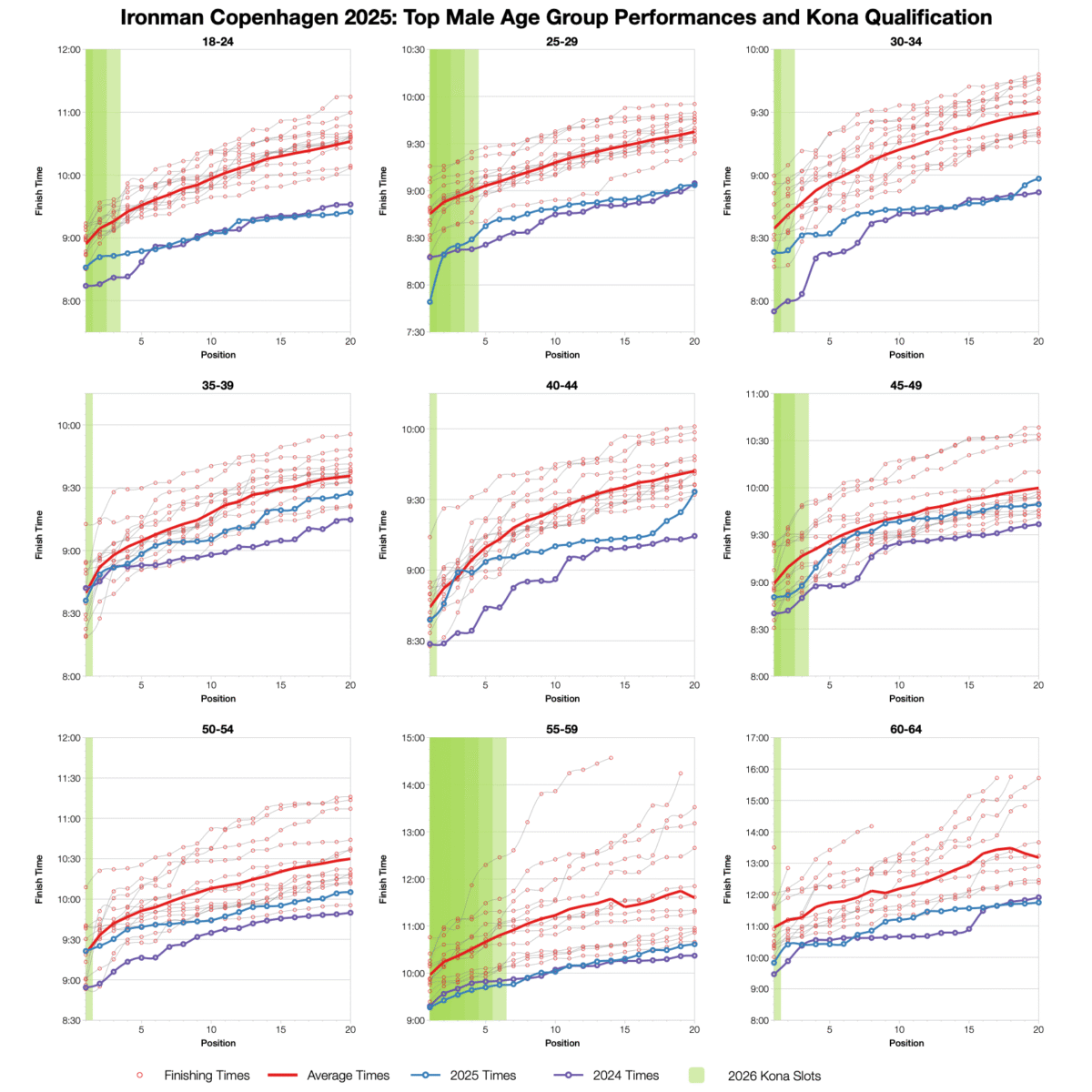
Age Group Top 20
This year’s top 20 times for age groups are mostly faster than average. Lending credence to this being a faster year in general. A few age groups are particularly fast and this tends to tally with the age groups that gain the most performance based slots.
Conclusion
As always Copenhagen was a fast race. There’s some indication this year was one of the faster ones, although the shift isn’t huge. The front of pack was fast with a few age groups putting out particular fast performances.














