Ironman Copenhagen 2019: Age Group Results and Kona Qualification
The final analysis this week is for Ironman Copenhagen. Copenhagen is a large, fast European Ironman that offers the standard 40 Kona almost for age group athletes. It’s also the last chance in Europe for a 2019 Ironman World Championship spot. The course is flat and times tend to be competitive for those seeking qualification.
This year’s race really doesn’t deviate much from previous amalgamated results. In fact, I’d say this is about the closest match in results distributions I’ve seen this year. Variations, such as a slightly slower run, are so small as to be insignificant. 2019 was a typical year for the Copenhagen course.
DNF numbers also reflect this, they fall comfortable within range of other years of racing at Copenhagen. A slightly higher swim DNF rate is the only thing to note, but even this is unexceptional by overall Ironman standards.
As the distributions are so similar so to are the age group medians. We see variance across the age groups, but this is always in the order of a few minutes here or there rather than any major shifts or trends.
Like most European races, Copenhagen draws a wide field of nationalities to race. Locals hold onto the biggest proportion of the Kona slots though.
Tracking age group times across Ironman Copenhagen’s race history shows a very consistent event. Times fluctuate very little, especially in the biggest age groups present.
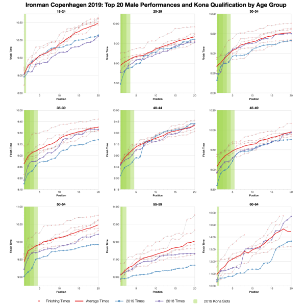
Based on the start list I’ve calculated the Kona slot allocation in Copenhagen and from that the automatic Kona qualification times. Final numbers may vary and roll down is not factored into these times. You can compare this with other races on my Kona qualification page.
For most of this analysis the picture has been of an average year, but the age group top twenty charts above show average or better results. At the front of the race there are more instances of faster than usual times. As is often the case this is particularly true when we look at Kona qualifying positions and the very front of each age group. In the case of the M35-39 age group times are the top twenty times are the fastest they’ve produced on this course. Copenhagen definitely remained competitive for those top spots.
You can access a spreadsheet of the full results from Ironman Copenhagen 2019 on my Google Drive.











